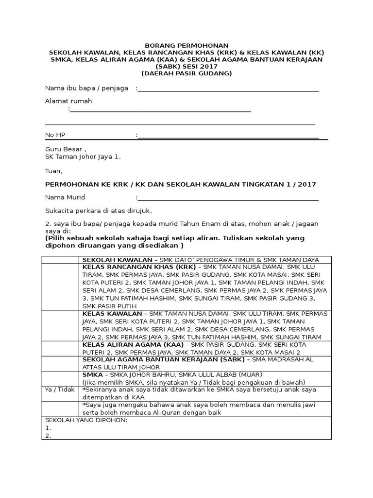
borang permohonan sekolah kawalan
03 8000 8000 Faks. Sistem Tauliah Mengajar e-Tauliah Tabung Amanah Pembangunan Islam Negeri Selangor TAPIS Sistem TenderSebut Harga Negeri Selangor.
Hotline Aduan JAIS 1-800-88-24.
. Senarai nama pelajar tingkatan 1 tahun 2020. Dokumen am yang diperlukan. Permohonan lesen Tred Perniagaan Dan Perindustrian boleh dibuat dengan menggunakan Borang Komposit berharga RM500 yang boleh diperolehi di.
Kejohanan badminton mahabbah pibg. Tarikh Permohonan Murid Tahun Satu 1 Online Dan Manual. Sistem Pengurusan Pelajar ke Luar Negara.
Etika pemakaian sekolah menengah. Mukhayyam staf sri al-amin bangi. Kaunter Utama Ibu Pejabat MBPJ Jalan Yong Shook Lin 46675 Petaling Jaya.
Peluang Kerjaya Di UTM Di UTM disebalik falsafah Inovatif Entrepreneurial. Keputusan spm. Portal Pengurusan Smart Masjid.
Senarai buku tingkatan 1 - 5 2020 sekolah menengah sri al-amin bangi. Sekolah Kawalan 2016 SBP 2016 Matrikulasi. Program awal persekolahan 2020.
Global merupakan tunjang dari segala perkhidmatan yang kami lakukan untuk masyarakatInilah yang membuatkan kita berbeza. 603 - 2711 3320. Permohonan kemasukan murid ke Tahun Satu bagi ambilan 2023 dan 2024 untuk sekolah di semenanjung malaysia termasuk sabah dan sarawak akan dibuka seperti berikut -.
Tawaran permohonan penganjuran Bazar Ramadhan tahun 20221443h di bawah pentadbiran Majlis Bandaraya Ipoh adalah dibuka mulai 17 Januari 2022 isnin hingga 28 Januari 2022 Jumaat. Sistem Permohonan Kemasukan Sekolah. Maklumat yang dipaparkan adalah informasi berkaitan tarikh permohonan applikasi atau borang pendaftaran dan cara mendaftar.
Dalam Warta Kerajaan PU A 196 bertarikh 21 Mei 1998 menegaskan bahawa Guru Besar atau Pengetua setelah menerima permohonan secara bertulis hendaklah menubuhkan persatuan sekolah dari kategori yang berikut- 111 Mata pelajaran yang diajar di sekolah sebagaimana yang dinyatakan dalam Peraturan-Peraturan. Kementerian Kerja Raya Tingkat 1-14 Kompleks Kerja Raya Jalan Sultan Salahuddin 50580 Kuala Lumpur. Bahagian Pelesenan Majlis Bandaraya Petaling Jaya Tingkat 6 Menara MBPJ Jalan Tengah 46675 Petaling Jaya.
KUNJUNGAN HORMAT 35 ANGGOTA PASUKAN KHAS LAUT. Kami memerlukan individu yang dinamik inovatif dan bercita-cita tinggi untuk bersama-sama menerokai teknologi baru dalam usaha merealisasikan Wawasan Universiti dan. Permohonan kemasukan pelajar sekolah.
Permohonan Tingkatan 1 Sekolah Kawalan Putrajaya 2022 Smka Kaa
Permohonan Tingkatan 1 2022 Pendaftaran Semakan Penempatan
Cerita Dari Lipis Pendaftaran Prima Kuala Lipis Kuala Lipis Outdoor Structures Outdoor Decor

